四川至科建筑工程质量检测鉴定有限公司

Sichuan Zhike construction engineering quality inspection and Appraisal Co., Ltd

全国咨询热线:

13551272219

关于我们

About us

四川至科建筑工程质量检测鉴定有限公司是专业接受委托从事质量检测技术服务的企业。公司成立于2017年9月26日,经成都市锦江区市场和质量监督管理局依法登记注册的独立企业法人(统一社会信用代码:91510104MA6BX8F21H),具有独立对外开展工程质量检测鉴定工作,不受外界干扰,为社会提供和出具公正数据的第三方公正机构,公司财务独立。注册资金捌佰万元人民币。 本公司以“公正、科学、准确、满意”为质量方针,以“用户满意,检测技术、服务水平在工程质量检测鉴定行业中较为先进的公司”为总体目标。致力

了解更多

服务类别

Service category
更多服务

成功案例

Success stories
更多案例

服务设备

Service equipment
更多设备

新闻中心

News Center
更多新闻

@2009-2020 www.zkjcjd.cn 版权所有:四川至科建筑工程质量检测鉴定有限公司 蜀ICP备2020028628号-1

技术支持:人人帮

短信咨询 电话咨询 一键导航
成都地毯 环保设备
 混凝土回弹强度怎么测?按这5五步标准流程走!_四川至科建筑工程质量检测鉴定有限公司-房屋检测鉴定|危房鉴定|房屋抗震鉴定|房屋使用鉴定

四川至科建筑工程质量检测鉴定有限公司

Sichuan Zhike construction engineering quality inspection and Appraisal Co., Ltd

全国咨询热线:

13551272219
当前位置:首页   >  新闻中心

混凝土回弹强度怎么测?按这5五步标准流程走!

发布时间:2024-09-30
阅读人数:537

1
抽样数量


《混凝土结构工程施工质量验收规范》回弹检测构件数量:


1)同一混凝土强度等级的柱、梁、墙、板,抽取构件最小数量应符合表D.0.1的规定,并应均匀分布。

2)不宜抽取截面高度小于300㎜的梁和边长小于300㎜的柱。


图片

表D.0.1 回弹构件抽取最小数量


2
测区布置要求


1)对于一般构件,测区数不少于10个。按照检测批进行批评定时,每个构件测区数量可以减少为5个。

2)两相邻测区的间距不大于2m,测区离构件端部或施工缝边缘的距离不大于0.5m,且不小于0.2m。

3)测区尽可能选择回弹仪处于水平方向的混凝土浇筑面。

4)测区面积不宜大于0.04㎡。

5)测区表面应为混凝土原浆面,并应清洁、平整,不应有疏松层、浮浆、油垢、涂层以及蜂窝、麻面。


图片

传统手绘测区

图片

新型印章测区



传统手绘测区,不仅费工费时,而且分区不精准,目前已迅速被新型印章测区方法所取代。新型印章测区方法不仅可以快速精准地分区上墙,而且还可任意定制更多信息:


图片
图片

砼回弹印章示例


3
回弹值测量


1)回弹检测前,检查仪器检定报告,并将回弹仪在钢砧上进行率定,确保仪器状态正常。

2)测量回弹值时,回弹仪的轴线应始终垂直于混凝土检测面,并缓慢施压、准确读数、快速复位(测量时避免弹击速度太快)。

3)每一测区测量16个回弹值,读数精确至1。

4)测点在测区内均匀每个测点间距不小于20㎜。


图片


4
碳化深度测量


1)回弹值测量完毕后,应在有代表性的测区上测量碳化深度值,测点数不应少于构件测区数的30%,应取其平均值作为该构件每个测区的碳化深度值。当碳化深度值极差大于2.0㎜时,应在每一测区分别测量碳化深度值。

2)每个构件选取三个测区测量碳化深度。

3)用錾子等工具在待测测区表面凿出深约10㎜的小孔,采用浓度为1%~2%的酚酞酒精溶液滴在孔内壁的边缘,当碳化与为碳化界线清晰时,应采用碳化深度测量仪测量界线到混凝土表面的垂直距离。

4)每个测区测量三次取平均值作为测区碳化深度代表值,读数精确值0.25㎜。

5)取三个测区的平均值作为检测结果,精确至0.5㎜。


图片

碳化深度测量仪

图片

测量碳化深度



5
现场检测记录


图片


砼强度计算


强度计算参考依据《回弹法检测混凝土抗压强度技术规程》


1
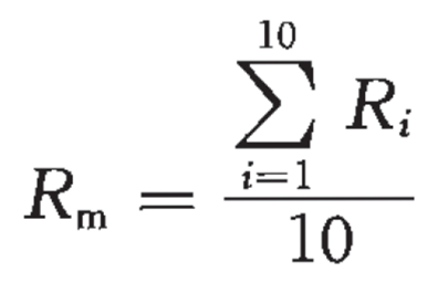
回弹平均值


1)测区回弹均值计算:测区16个回弹值中剔除3个最大值和3个最小值后取平均值,精确到0.1。

图片

2)角度修正,参照《回弹法检测混凝土抗压强度技术规程》附录C。

3)浇筑面修正,参照《回弹法检测混凝土抗压强度技术规程》附录D。

修正顺序:先角度修正,再进行浇筑面修正。


2
测区强度换算值


1)强度曲线:专用测强曲线、地区测强曲线、统一测强曲线。

2)《回弹法检测混凝土抗压强度技术规程》附录B适用泵送混凝土强度换算。

泵送混凝土强度曲线方程

图片

3)《回弹法检测混凝土抗压强度技术规程》附录A适用非泵送混凝土强度换算(查表法)。


3
强度推定


测区强度换算值平均值(精确至0.1MPa):

图片

测区强度换算值标准差(精确至0.01MPa):

图片

混凝土强度推定值计算方法:

1)构件测区数少于10个时(样本太少,取最小值):

图片

2)构件测区强度值中出现小于10.0MPa时(测区强度无法查到,只能取最小值为推定值):

图片

3)构件测区数不少于10个时(保证95%保证率):

图片

4)批量检测时:k为推定系数,宜取1.645。需进行推定区间时,按相关标准取值:

图片

批量检测时,应按单个构件评定的情况:

1)该批均值小于25MPa、标准差大于4.5MPa;

2)该批均值不小于25MPa且不大于60MPa,标准差大于5.5MPa。


砼回弹表格规范


图片


关于砼回弹测区表格尺寸,依据JGJ/T23《回弹法检测混凝土抗压强度技术规程》中的三点要求 :


1、每一测区应读取16个回弹值;

2、每一侧区内相邻测点的距离不宜小于20㎜;

3、每一测区的面积不宜大于0.04㎡。


图片

图片


由此可得出测区表格尺寸,如图所示:


图片


测区表格整体为边长在8~20㎝之间的正方形,等分16小格。


那么,测区表格具体定为多大尺寸合适呢?我们查阅了中建等大型建企客户提供的CI标准,以边长为10、15、20cm三种居多。


而且,由于传统手绘方法费工费时且划线不精准,已被新方法:专用印章所取代。


图片

传统手绘测区

图片

新型印章测区



专用印章不仅操作方便、精准分格,而且还可任意定制更多信息:


图片
图片


图片
图片

砼回弹测区印章示例

@2009-2020 www.zkjcjd.cn 版权所有:四川至科建筑工程质量检测鉴定有限公司 蜀ICP备2020028628号-1

技术支持:人人帮

短信咨询 电话咨询 一键导航
成都地毯 环保设备